avatar
· 阅读量 2,011
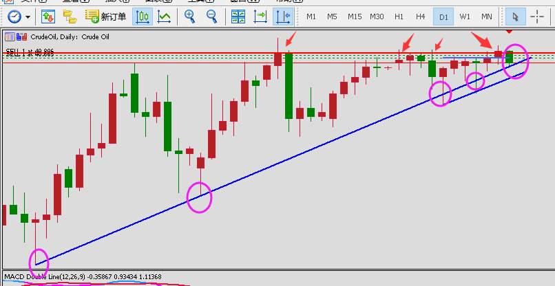
原油中线思路:等今晚破位,继续保持中线空的思路,顶部做了2个轻仓的测试单。这次向下破位后再加仓进场中线空单,向上破位就要继续等下一个调整位

风险提示:本文所述仅代表作者个人观点,不代表 Followme 的官方立场。Followme 不对内容的准确性、完整性或可靠性作出任何保证,对于基于该内容所采取的任何行为,不承担任何责任,除非另有书面明确说明。

回复 0

暂无评论,立马抢沙发

  • tradingContest